11月23日,记者从天津大学获悉,该校人工智能学院于强教授团队联合国际科研人员聚焦大脑神经网络的“基本零件”——突触,首次揭示了其处理时空信息的核心机制。相关成果22日发表在国际期刊《美国科学院院刊》上。
在人类大脑中,数以亿计的神经元以脉冲的形式,通过“突触”这一连接点传递和处理信息。对其工作机制的模拟与计算,是人工智能领域发展的重要启发源泉。具体而言,突触具有两种关键的调节能力。一种是“长时可塑性”,即其连接强度可以长期增强或减弱,这被认为是形成长期记忆的基础;另一种是“短时可塑性”,指的是在极短时间内动态调节信号强度的能力。尽管两者均至关重要,但它们如何协同工作,共同影响大脑的学习与信息处理效率,一直是未解之谜。
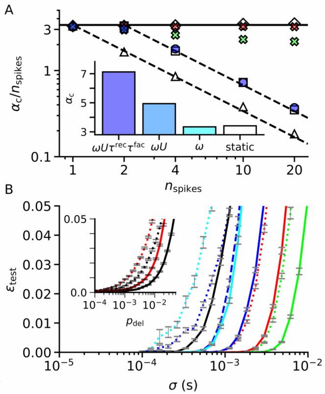
针对这一难题,研究团队通过构建突触计算与学习理论模型,发现当“长时可塑性”作用于“短时可塑性”时,大脑能够将时间序列上的信息转化为空间上的表达模式,也就是“以时间换空间”。这一机制显著增强了神经网络的记忆容量、抗干扰能力以及对复杂时空信息的识别能力。该模型还在小鼠与人类大脑皮层突触电生理观测中得到了验证,显示出高度的生物合理性。

神经网络存储容量和噪声鲁棒性分析结果(天津大学供图)
“这项研究像是为我们找到了大脑在处理信息时的‘协作密码’。”于强教授比喻道,“它不仅解释了大脑处理信息的底层逻辑,也为开发可解释、可通用的下一代人工智能方法提供了重要支撑,标志着我国在类脑智能与人工智能交叉前沿领域取得又一重要进展。”
原文链接:https://www.stdaily.com/web/gdxw/